导 读
介绍了供水系统爆管监测的研究框架,针对爆管是否可监测问题,结合供水监测系统实际情况,提出了监测系统的背景噪声、爆管最小可监控管径等基本概念及分析方法。从设计的角度提出了爆管强度的概念,同时提出了监测网数量优化要考虑投入产出比,建议参考边际效益(如爆管监测覆盖率)来确定监测设备的数量。还提出了监测网的空间优化目标函数,并认为最终的优化成果要明确哪些管线在监测范围之内。在爆管监测技术方面,针对国内外研究工作中极少讨论的成果验证与评估方面提出了一些参考性指标。
城市供水系统是城市生命线工程,对维持正常的社会生活、生产秩序和公共安全至关重要。如果发生主干管“爆管”,极易引起全城供水危机,交通瘫痪等。目前主要是根据地面是否有水溢出(居民报告或人工巡视)来发现爆管事故和寻找爆管位置,往往到发现爆管事故和找到爆管位置时,已经造成大量水资源流失并严重影响到城市的正常运行。鉴于给水管道爆管事故带来的负面影响是比较严重的,如何预防、减少爆管,并能够快速应对这类突发事件是生产实践和理论研究的热点之一。本文仅就体系结构和关键技术点进行阐述,具体的技术实现方法不进行详细讨论,旨在为理论研究者和工程应用单位提供比较系统的参考。同时协助应用单位在工程建设中提出合理的技术要求和目标,尽可能避免在研究和工程实践中的风险,在技术可达的范围内提高资金的利用效率,提升社会服务能力。
1爆管监测研究的理论体系
1.1 现阶段技术方向的选择
爆管监测有非常明确的社会需求,是供水领域尚未得到较好解决的工程问题之一,其中也蕴含着复杂的科学问题。不管采用什么技术路线,面向工程应用都要兼顾技术的实用性、可操作性,尤其是在恶劣环境下的稳定和可靠性。目前国内外关于爆管监测的研究主要有两个技术方向:基于拟稳态压力和流量监测数据状态(采样周期>1 s)突变的分析法和基于压力波(瞬态波)的分析法。基于拟稳态压力和流量监测数据分析方法的物理基础是:供水爆管后,管网的压力通常出现比较明显的下降,管网流量也会增加,据此判断管网可能出现爆管。从技术经济条件比较来看,基于拟稳态压力和流量监测数据分析方法在目前阶段相对更现实:
拟稳态的压力监控设备价格远低于瞬态波监控设备,现有供水管网绝大部分采用拟稳态的监控设备,建设成本已经下降到一般自来水公司完全可接受的范围,并且可进一步提高布设密度,经济条件上较优。
拟稳态的设备的现场适应性要好于瞬态波监控设备,虽然瞬态波监控能够获取更多信息,但是越是精密的仪器,环境要求越高。室外监测条件对仪表来讲都比较恶劣,绝大部分只能布置在潮湿的管道井内,甚至长期浸泡在水中。
高频采集设备也意味着对供电有较高的要求,大部分现场条件难以满足。
从成本和应用环境来看,采用拟稳态监控设备目前较为现实,以此为基础的研究和工程应用是当前较为可行的方向,也不排除今后高频采集设备的成本和环境适应性大幅度提升,成为主流研究方向。
1.2 爆管监测的基本问题与技术路线
许多学者探索采用不同算法来监测爆管。不管采用什么算法,首先要确认研究对象物理条件的可行性,由此笔者提出了3个基本问题:
采用现有的设备,爆管是否可以监测;如果可以监测,监测可以到什么水平。
在可以监测的前提下,如何较好地布置监测网,提高监测效率和可靠性。
在爆管监测网已建立的基础上,如何利用监控设备监测到的数据,在第一时间有效识别爆管的地点。
本文将爆管监测3个基本问题分解为10个技术要点,10个技术要点有的是现有成熟技术的应用,有的是待进一步拓展和探索的技术,有的是新概念,它们之间的逻辑关系如图1所示。针对第②、③个问题文献较多,但对第一个问题几乎无涉及。笔者认为第一个问题非常关键,如果没有解释清楚,后续应用层面将受到很大影响,因此第一问题的解决是开展后续两个问题研究的重要前提。

2爆管监测的最大监测能力
不管算法如何先进,研究工作必须基于研究对象的物理特征、测试设备的精度和工作环境所能提供的条件,综合表述为“管网爆管的监测能力”,包括两个方面:爆管对管网系统产生的冲击信号有多大和监测设备能够接受到什么水平的信号。在探索这个问题时,先要找到一种分析爆管的监测能力的方法,对应图1中描述的前5个技术要点。其中第1、2要点合成后可以用于量化分析爆管对管网的冲击。根据爆管对管网的冲击大小和管网监测信号物理特征,可初步判断监测系统能否可感知到爆管的冲击。管网的压力、流量是在一定范围内波动的,这种波动包含了管网系统自身波动和监测仪表的误差,物理上是不可消除的,可视为管网监测系统的背景噪声。监测系统能够感知爆管,客观上要求爆管产生的冲击信号大于背景噪声,否则被淹没在背景噪声之下,文献提出了“爆管最小可监控管径”的概念。简单的例子可帮助理解这一概念:一个管网系统中DN500管道的爆管是比较容易被SCADA监测到,但是DN50的管道爆管后,即使监测设备放在非常近的位置也无法正常判别。在爆管可被感知和不被感知中间存在一个界限,这条界限就是“爆管最小可监控管径”。这个界限没有考虑管道破裂的程度,但是说明了,即使最严重的破裂,当管径小于这一界限时,监测系统很难正常判别。这一指标可作为应用单位和设计单位的系统建设参考目标。
2.1 爆管漏水量估计
管道爆裂之后,水会通过裂口流出。供水企业通常利用水厂瞬时流量变化估计爆管漏水量,这是一种事后分析的方法。在进行爆管可监测水平的估计过程时,需要预先估计。一些研究按照孔口出流的方式进行估算,笔者通过模型试验发现,实际流量系数范围较宽。管道上的孔口出流与来流速度、孔口的大小均有关系,可采用两个经验公式估算。在EPANET模型中应用时,可折算成相应的射流系数来计算爆管的泄露量。
2.2 管网监测数据的特征与背景
噪声供水管网系统监测到的压力和流量数据以天为周期变化,同时包含一定的随机性。通常采用3σ法则对实测数据进行异常的初步判断。这种观点源于统计学中3倍方差以外的事件属于小概率事件,但是在实际供水系统中是否正确并无充分实证资料。笔者采取另一个观点来说明合理数据范围,对帮助判断爆管或者优化爆管监测网可能更有说服力。
任何系统都存在一定的环境背景噪声,供水系统也不例外。引起城市供水管网系统水力波动的因素包括用户用水量、水泵阀门启闭等,这些因素都是随机变化的。同时仪器仪表本身也会受各种因素影响波动。采集到的信号包含了仪表和被监测对象随机波动,这两部分波动构成了环境背景噪声。
2.3 爆管冲击影响分析
爆管是偶发现象,很难进行现场测试,一般只能借助管网水力模型。在进行一般的爆管冲击影响分析时,可采用设定漏水量或节点的射流系数进行水力分析。水力模型包括传统的流量驱动和压力驱动模型。压力驱动模型中有一些经验参数是与具体的供水系统有关,不易确定,增加了分析的难度。如果仅仅考虑某一管道爆管压力下降是否超过背景噪声(阈值为0.6~1.5 m),传统的流量驱动模型虽有误差,也基本能满足要求。以图3模型为例,指定背景噪声阈值ΔPc为0.8 m,爆管管道流速增加了1 m/s。假设当节点水压低于16 m后按照线性比例和周建华模型进行折减,压力驱动法与传统的流量驱动法区别不明显。如果仅评估爆管影响范围,采用普通的流量驱动模式能够满足基本要求。

2.4 爆管最小可监控管径
实际供水管网系统中,爆管事故的范围受管网系统结构、管径大小,爆管漏水口的大小影响。小型供水系统中,DN200的管道爆裂后,在水厂泵站就可以看到明显的变化,但是在大型供水系统中,也许DN500的管道爆裂后,监测系统没有显著的变化,本质上是由于管网自身耐冲击负荷能力决定的。由此提出了一个供水系统“爆管可监控最小管径”的概念:对于一个特定的管网,当爆管管径小于某一临界值时,由于爆管泄露后引起的流量和压力变化低于背景噪声水平,很难通过现有监测系统判断是否出现了爆管。笔者以南方某大型城市供水系统为例进行了模拟分析,其“爆管最小可监控管径”大体在DN500~600,这一值与该市调度部门实际情况与比较吻合,主要体现在两个方面:
长期运营过程中,对于DN400及以下的爆漏,不需要立即上报调度中心进行处理,由各营业分区自行处理,其中一个内在原因就是调度中心很少观察到这一级别的爆管对系统产生明显的冲击,一般不调整现有运行方案。
笔者在以该市为对象的爆管监测系统研究中,对历史监测数据进行了回测,DN500以上的爆管,检出率较高,而该级别以下的爆管检出率较低。虽然爆管的监测与监测网的布置情况和爆管识别算法有密切关系,但是从另一个侧面反映了监测能力主要由管网系统自身物理结构决定。最小可监控管径不是一个非常严格的数字,受到各种因素影响,大体在1~2个管径级别范围内,建设单位在应用中要把握好尺度,不宜提出超出实际技术能力要求,造成项目实施困难。
3爆管监测网的设计
爆管是必然会发生的偶然事件,影响大,供水管网的设计过程中一般也有相关考虑。监测网在设计阶段应该充分考虑投入产出比,一味追求“高大上”或“高精尖”会给后期的运行管理造成较大的负担。监测网设计的目标是在经济条件许可的情况下,监测网能够及时、准确地发现爆管事件,并能够较好的定位。管网水力监测设备包括流量和压力两种。目前压力监测设备成本较低,安装也较为简单,主要受制于供电和设备维护。流量监测设备采购和安装成本较高,设备使用条件也较为苛刻。同时监测设备数量并非越多越好,当监测设备超过一定数量时,监测能力提升有限,性价比不高。研究过程中可以从边际效用的角度考虑设备的布设效果。从运营成本的角度,现阶段监控仪表设备的选取建议为:尽可能采用压力监控设备,有条件的地方利用现有分区计量的流量监控设备。
3.1 爆管强度
上一节已经介绍了管网爆管最小可监测管径分析,这仅是给出了能够被监测到的最高水平。实际情况中同一根管道不同条件下爆管产生的漏水量不一样。影响因素包括:压力、管道漏水口尺寸、管道来水直径等。对于可监控DN500的管道,其爆管泄漏量可能是600 m³/h,也可能是10 m³/h。从设计角度,需要明确、合理的技术指标作为参数。从自来水公司的角度来考虑,不仅关心多大管径的管道破坏了被监测到,还非常关注漏水量的水平,希望以爆管后的漏水量作为判断爆管事件严重程度的直接指标,类似于房屋抗震设计就要考虑地震的烈度。由此笔者提出了爆管强度概念:管道爆裂后的漏水量水平。直接或间接指定设计用爆管漏水量有三种方式(见表1):
指定管道破裂面积A:当管道破裂面积A统一指定时,漏水量可根据Q=μA2gh计算,这个计算公式涉及到压力h,而压力h往往是未知的,事先较难确定漏水量Q。同时管道破裂的面积是随机的,对一个供水管网系统里的所有管道指定破裂面积较难。
指定管道泄漏量Q:这一方式能直接反映漏水量,但是对于不同管径的管道,统一指定泄漏量不一定符合实际情况,例如指定管道的泄漏量为1 000 m³/h时,对于DN600的管道是合理的,但对于DN100、DN200等的管道是不合理的。
指定管道流速增加量ΔV:根据ΔQ=ΔVπd2/4计算可快捷得到漏水量。该公式考虑了管径d的影响,并且不需要考虑压力。定义的漏水量根据管径变化在一个合理的范围内,计算简单。

本文建议采用指定爆管后流速增加量ΔV这一方式作为爆管强度的指标,同时建议用于设计爆管监测网管道流速增加量ΔV在0.8~1.2 m/s,大约是正常速度的0.5~1.5倍。这一指标有水力学因素的考虑:实际管网时的水力坡降在0.5‰~2‰之间,在城市管网中管道的经济流速通常在1.0 m/s上下,2~3 km布设一个测点,当流速增加一倍时,压力变化大体能超过背景噪声界限。图4中红色节点表示压力下降超过背景噪声阈值的区域,也就是当图中标记的管道爆管漏水量超过指定的标准时,布置在红色节点区域内的压力传感器可以感应到爆管影响。

3.2 监测网的传感器数量选择
监测网的布局优化包含了两个问题:
合理的监测数量;
尽可能多的管线纳入爆管监测。
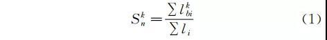
通常来讲,随着监测设备的增加,整体监测能力会上升。管网系统中被监控的管道长度可以较直接反映监测网络对整个管网的监控能力。当一根管道发生爆管时,可能被一个传感器监测到,也可能被多个传感器监测到。笔者在分析实际监测设备量与正确判断爆管之间的关系时发现:至少要两个及以上传感器同时感应爆管冲击效应才能做出比较可靠的判断。当监测点数量为n时,管网爆管监测能力用管道覆盖率表示见式(1):

式中lkbi——第i根管道被k个或更多个传感器监测到爆管的管长;
li——第i根管道的长度。
边际效用就是ΔSkn=Skn-Skn-1。通过观测覆盖率随着监测设备数量的变化,可了解传感器数量的投入效益。图5描述了监测成本与监测能力之间的关系。

3.3 监测网的空间布局优化
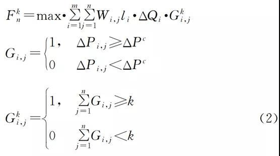
爆管监测系统一般优先监测重要管线和重要用户,研究人员可以根据各自的理解和客户的需求制定相关的目标函数。基于一般性考虑,笔者提出了一个爆管监测布局的优化函数供读者参考:在同等爆管强度水平下,漏水量体现了管道的重要性;当给定监测点数量n时,最大可能监控到漏水量。以压力监测点布局优化为例,供水管网爆管监测网布局优化函数见式(2):

式中 i——管道编号;
j——节点编号;
n——监测点数量;
k——同时监控到的测点数;
m——被监控的管道数;
ΔQi——第i根管道爆管产生的漏水量,根据指定爆管强度ΔQ=ΔVπd2/4确定,能够较好地反映管道重要性;
Wi,jli——权重函数:管道越长出现爆管的概率越大,li体现了管道长度的影响,Wi,j与材料、用户重要性等因素有关,可视情况而定;
ΔPi,j——第i根管道爆管,使编号为j的节点压力下降的绝对值;
ΔPc——根据管网压力波动背景噪声确定的可监测阈值;
Fkn——基于爆管模拟分析,以最大可能监控泄漏量为目标,同时考虑了管径、管长和管材等因素的最优空间布局目标函数。
3.4 监测设备数量与空间布局优化与成果表述
总体来讲,大管径的供水通道应该优先受到监控,同时监测点布设应相对均匀,尽量保证每根管道均在监测点有效监控范围内。监测网优化的流程如下:首先设定一个最少的监测设备数,然后进行空间布置优化,再不断的增加设备数量,进行空间优化,同时监控管道覆盖率的增长情况,直到增加量小于设定目标。图6是爆管监测优化后的成果。当监测点数量一样时,S1n≥S2n≥S3n;随着监测点数目的增加,S1n、S2n、S3n均增加。当监测点数目到某一数值时,覆盖率增加效果不明显。当监测点数量足够多,S1n、S2n和S3n趋于相等。考虑到爆管监测的可靠性要求,建议S2n为判断准则。图6显示合理的监测点数量为20~25。优化算法非常多,利用笔者开发的程序CSWatetNet,在完成数据预处理工作后,百万吨级的供水管网一般1 min即可完成优化工作。不管算法是否先进,关键点在于要让自来水公司在建设系统器能够非常清晰的了解哪些管道被纳入监控范围。图6显示靠近水源的管道基本被标注出来,表明主要的供水通道被纳入了监测范围;其次在管网的末梢布设点较多,说明与供水企业对管网末梢压力监控的目标一致;最后监测点布置比较均匀,符合一般的常识,是工程上可接受的布局。在实际工程中,由于供电等因素的约束,布设位置会有调整,但也应该根据相关的程序绘制被监测管线,给应用单位明确、清晰的管线监控分布图,而不是一个抽象的数字。

4爆管的在线监测研究技术
4.1 爆管监测步骤与方法
爆管监测的算法研究非常多,本文不再论述。不管采用什么算法,实际爆管监测系统需要一个完整的运行流程。
收集管网中的传感器信息和水厂、泵站的运行状态;
实际的SCADA系统中存在大量的数据异常或数据丢失现象;在爆管分析前,进行数据预处理,确保有效数据进入分析模型,防止因为错误数据导致错误判断;
利用数据和模型进行分析是否可能出现爆管,对异常现象进行解释,期间可能需要人为干预,才能给出最终的结论。
应用单位应理解爆管监测系统建设的目标是通过其分析功能自动筛选绝大部分的异常,给出初步的结论,提高分析效率,降低一线工作人员的工作强度,而不是给出一步到位的结果。
在理论研究与工程实践的过程,笔者建议爆管的监测评估分两个级别:
第一级别是识别是否有爆管,即判断是否发生了爆管;
第二级别是判断爆管的位置,为实际的抢修提供指导。
由于各种干扰信息非常复杂,现有算法都尚难完美的处理好。一些管网的真实用水与爆管特征一致,如打开消防栓放水,现有算法也难以区别。因此在这个阶段仍然要进行一些人工干预。定位分析阶段并不是意味第一阶段完全做好后才进行,计算机自动分析算法认为在发生了爆管时就可以进行,在发布相关信息时,结合人工判断,如热线信息作为参考,提供更可靠性的指导信息。
现有的爆管监测算法大部分都是判断是否发生了爆管,判断爆管位置主要通过“漏斗法”进行估计,图7是某输水管线爆管后5 min内形成的压力下降漏斗。“漏斗法”根据爆管后产生的现象进行判断,有充分的物理基础,但也是有“时间窗口”限制。笔者根据已有案例初步认为对于长距离输水管线有效时间窗口约5 min,大型供水管网时间窗口可以15 min左右。考虑数据延迟等因素,爆管监测分析程序必须在1 min以内完成,传感器采集和传输时间周期也不能超过时间窗口。同时也没有必要过高的采集频率,一方面对供电要求高,另一方面周期太短,“随机干扰信号”的比重过高,也会影响正确判断。受背景噪声的干扰,“漏斗法”仅在大爆管时有较好效果,笔者在实践中利用水力模型与监测数据耦合分析可以取得更好的效果,本文不再赘述。

4.2 爆管在线监测成果验证与评估
爆管监测的目标是一旦发现可疑情况,能够迅速反应,提供决策指导。爆管监测算法不是预报准确性唯一因素,同时也受设备的投入、管网现状和爆管的严重程度影响。无论使用方还是研发方,都要科学和实用的态度来评估系统的有效性,完全否定或依赖监测系统都不是科学的态度。
许多文献介绍了爆管监测算法,不足之处都以个别案例方式评价效果如何。鉴于爆管监测的复杂性,在投入工业使用前,应该对算法和整个软硬件系统进行统计验证。爆管监测结果有3种情况:准确预报、误报和漏报。漏报和误报是普遍存在的现象。误报是阻碍推广应用的主要因素之一:过高误报率严重影响使用者的信心,导致一线工作人员对系统的厌恶。作为监测系统应允许一定的误报率。从工业心理的角度来看,不宜超过1~2次/d以上的误报。对于管理部门,也应该从制度上要求一线人员接受并理解一定程度的误报属于监测系统的正常现象。出现报警后,积极通过人工核实情况。这样既可以促进监测人员保持一定的警觉性,又可以敦促一线人员观察设备的完好状态,对供水系统的管理是有益的。
爆管的准确率建议从两个层次来进行评估。前文已经介绍了爆管监测预警包括是否发生爆管和爆管定位两个方面。笔者认为首先要从“是否发生爆管”的角度评估有效性,在确认了爆管后,将判断爆管的位置作为更高一个层次的要求。以某市监测预警的爆管监测预警数据验证为例,将爆管监测预警的精度分类两级:第一级为监测到爆管,但是位置难以确定;第二级精度为不仅预警到爆管,而且大体位置预测准确。不同级别管径的预报精度也是有差异的,表2就是针对DN600以上爆管进行的统计案例,详细的内容可参阅文献。在与一些自来水公司的基层人员沟通情况来看,对于重要的管线,监测系统漏报率不低于50%是当前可以接受的一个水平。从空间定位精度来看,笔者认为城市管网到“街区”即可:从抢修的角度来看,工人只需要到达相关街区就可以通过人工判断进行操作了;爆定位精度到米或十米级对实际工作意义不大,只会增大设备投入和算法难度。对于农村偏远长距离输水,500~1 000 m基本满足要求,巡查人员可以循着管线进行人工搜索,不要出现方向性错误即可。

5总结与展望
供水管网系统作为生命线工程,爆管监测是安全保障中的重要一环,非常有必要加强相关研究。本文提出了开展相关研究的三个基本问题和现阶段可行技术路线,并且认为基于被研究对象的物理特性和设备运行条件开展相关研究在今后的实际应用中成功的概率更高。本文初步认为现阶段采用现有拟稳态的压力流量监测系统是较为可行的技术路径。在研究过程中,笔者根据实测资料提出了一些新的概念:
供水管网背景噪声;
爆管最小可监测管径;
爆管强度;
爆管监测覆盖率,同时也介绍了如何对监测系统的有效性进行评估。
爆管监测水平是受事物自身物理特性约束,不能简单依靠投资突破,要尊重客观规律,设定合理建设目标。供水系统爆管监测的预报与定位目前没用得到完全解决,还待进一步提升,既有理论和算法的原因,也有硬件设施的原因,需要同步提高。
来源:给水排水
微信对原文有修改。原文标题:供水管网爆管监测体系研究;作者:程伟平;作者单位:浙江大学建筑工程学院。刊登在《给水排水》2021年第8期。












