摘要:CIPP(即原位固化法)作为一种重要的非开挖管道修复技术,具有施工速度快、工期短、内衬管与原管道紧密贴合、内衬管连续且表面光滑等优点,被广泛应用于污水管道、供水管道等给水排水管道的修复和更新。在充分调研国内外对该技术的研究情况基础上,本文重点介绍近年来国内外CIPP修复技术在弹性稳定性、结构刚度、强度(承载力)及管周土压力等方面的研究情况,指出了在CIPP设计过程中目前存在的缺陷及未来的研究方向。简要介绍我国CIPP修复技术的工程实践以及面临的问题与挑战,为进一步研究内衬管的结构受力特性提供参考。
随着我城镇化进程的不断加快,城市地下管线迅猛发展,近年来,接近使用寿命的给排水管道日益增多,管网老化、渗漏、腐蚀、接口脱节、错口等问题日益突出。传统的开挖道路更换修复严重影响城市交通和居民生活,因此非开挖修复技术应运而生。原位固化法(Cured-In-Place Pipe, CIPP)是目前采用最为广泛的非开挖管带修复技术之一,是指采用翻转或牵拉方式将浸渍树脂的软管置入原有管道内,固化后形成管道内衬的修复方法。具有施工速度快、工期短、内衬管与原管道紧密贴合、内衬管连续且表面光滑等优点,因此被广泛用于圆形和矩形截面给排水管道的修复和更新。原位固化法需要解决的主要问题,包括材料的选择、内衬管的铺设和固化方法以及内衬管设计。使用的主要材料是软管和树脂,其中树脂是系统的主要结构元素。树脂材料通常可以分为不饱和聚酯树脂、乙烯树脂和环氧树脂三类。按照软管进入原有管道的方式不同,可将 CIPP 分为翻转式和拉入式两种工艺。软管的 固化工艺目前包括:热水固化法、蒸汽固化法和紫外光固化法。内衬管设计主要包括软管直径和长度的确定和内衬管壁厚设计,分为半结构性修复和结构性修复两种情况考虑。
CIPP 技术已经在国内外的城市管网修复更新工程中得到较广泛的应用,但是作为一项高新技术,其基础理论研究不足。在弹性稳定性方面,对于完全劣化的管道,目前的设计方法没有计算外荷载的准则,而是人为判断确定;内衬管临界压力的计算都是基于均匀静水压力,没有考虑到非均匀荷载及原管道破损情况;在结构刚度方面,目前基本上都是通过环向压缩试验结果计算确定,精度不够高,误差较大;在强度方面,给排水管道考虑流体冲击压力、偶尔和周期性波动压力对内衬管力学性能的影响研究不足;在管周土压力方面,结构性修复中,ASTM F1216-17用一个地基反力模量值来表示土,忽略周围土体管道力学性能的变化,可能会导致设计不安全。
本文在充分调研国内外CIPP技术的理论研究进展以及国内的工程实践案例后,从弹性稳定性、结构刚度、强度(承载力)及管周土压力四个方面介绍了国内外CIPP修复技术的研究情况,指出了目前该技术在内衬管设计中存在的缺陷,为今后该技术的研究提供了有指导意义的参考。同时,还结合国内的工程案例,分析了该项技术在实际工程中的应用情况以及面临的问题与挑战。
01.CIPP管道修复技术的国外动态
根据ASTM F1216标准中规定的CIPP修复技术的具体施工流程,总结得到了圆形截面管中管的结构如图1所示,其中左图为横截面宏观示意图,右图为管壁局部放大示意图。管中管结构一共包含内膜、复合材料、外膜和旧管道四层,复合材料为树脂载体材料或增强材料,包括耐磨层;旧管道为出现问题待修复的污水管道、供水管道、化学及工业管道等压力管道。

理想的管中管结构模型中,内衬管与原管道之间是紧密贴合的,但在修复完成后往往会发现内衬管出现褶皱等屈曲变形。对外压圆柱管的研究可追溯到19世纪中叶(1858 Fairbairn),他认为管道长度和管径壁厚比是确定屈曲压力的重要参数。Bresse(1866)应用小挠度理论,研究了在外部静水压力作用下,自由圆环的稳定性并得出如下表达式:

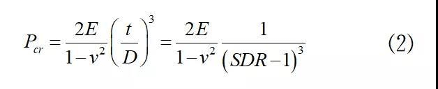
G.H.Bryan (1889)利用最小势能原理,对静力外压作用下的长距离管道的屈曲临界荷载进行了相关推导,为了表示无限长管道的平面应变效应,引入了管道的泊松比v参数。(1)式被修正为(2)式:

Cheney(1971)利用线性小挠度理论研究了外部均压作用下刚性边界内的圆形圆环的稳定性。在发生屈曲后,屈曲的内衬分为两个部分,上部向内屈曲,下部紧靠外刚性壁。在圆环的上半部分(θ=±φ),圆环可以自由地采取与微分方程和边界条件相一致的形状。但是,较低的部分只能在圆周方向上发生偏转;不允许径向偏转。他进一步假设腔壁随着环向内运动,而环抵抗向外运动,但不抵抗向内运动。利用最小势能原理,推导的临界压力方程为:

Glock (1977)分析了外静压作用下刚性边界包裹的薄圆环的稳定性问题。Glock的模型假设环和刚性腔之间没有摩擦,与Cheney(1971)的模型相似,Glock(1977)设想了两个区域:区域I和区域II,如图2所示。但不同的是,Glock的模型不要求腔壁随环向内移动。

目前安装在部分劣化管道上的CIPP的设计方法使用的是ASTM F1216-17中的X I.1(如式(5))。设计公式相较式(2),增加了增强因子K、安全因子N和椭圆度因子C等参数,考虑到内衬材料的蠕变效应,式(5)应用长期弹性模量修正了短期弹性模量参数。

增强因子K可以解释为由于封闭的既有管道支撑增加了CIPP衬垫的屈曲阻力。ASTM F1216推荐的增强因子最小值为7,Guice (1994) 的实验表明,对于不同材质的内衬管道,增强因子K值相差较大。椭圆度因子C可以解释由于既有管道初始缺陷或椭圆化而导致的CIPP承载力降低情况,由下式表征:
上述所讨论的刚性腔内薄环的临界屈曲压力计算模型,都得到了形式相似的临界屈曲压力计算公式。这些方程的基本形式是:

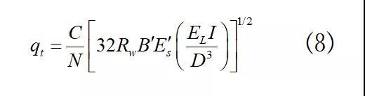
以上内衬管稳定性分析模型只适用于局部劣化管道,即仅适用于半结构性修复设计。而对于全部劣化管道,即结构性修复设计,ASTM F1216-93(公式X1.3)中介绍了目前安装在完全恶化的主管道中的CIPP的设计方法,计算方程为:

1.2内衬管的结构刚度
在《Structural Mechanics of Buried Pipes 3 edition》一书中,结构刚度被定义为抵抗挠曲变形的能力,在数值上等于应力-应变图上任意点处的斜率F/D。George McAlpine (2001)通过犹他州立大学(USU)在大型土壤槽中对750毫米有裂缝的无钢筋混凝土管道的测试结果(如图3),发现管道周围土壤的支撑能力(即土壤的坚硬程度)直接影响着开裂刚性管道的有效刚度。在坚硬的土壤中,管-土结构的有效刚度非常高,安装内衬管可以通过防止土壤冲进管道造成土壤空隙来保持土壤的支撑。在较软的土壤中,柔性内衬管可以提高开裂混凝土管道的刚度。为开裂混凝土管道的内衬设计奠定了基础。

Kamil Artur Mogielski, Dr.Eng(2017)利用对比法对无内衬管和有内衬管的五种类型的管道样品进行了环刚度试验。实验结果表明,带内衬管的管材的环刚度变化与管材与内衬的结合强度呈正相关,内管壁越粗糙,粘接能力越强。为了满足经济性和耐久性的设计理念,还需要进一步研究环刚度的增加与粗糙度和内衬管厚度之间的定量关系。通过建模计算得出的内衬减薄系数来平衡三者之间的影响。这些系数被广泛应用到内衬管厚度的设计方法中。
Michael J.P. Brown(2014)利用三维有限元建模的方法,分析了极限状态下CIPP内衬管的结构刚度对拉应力的影响。发现在最大工作压力下,内衬管的拉应力实际上是由无侧限的周向应力控制的。环向刚度的增加在一定范围内可以降低内衬管在工作状态下的拉应力。因此,如果内衬管是根据这种极限状态设计的,则环向模量应至少是轴向模量的1.1倍,以最小化内衬管的最大拉应力。
Gergely Czel(2015)提出了一种根据环向压缩试验结果确定纤维缠绕的椭圆形聚合物内衬管环向有效弹性模量的新方法。所提出的试验方法也可用于质量控制和一般产品控制,适用于各种管道截面。设计工程师可以通过该方法从任意椭圆型截面上的环的简单压缩试验结果中计算出各种管材的有效弹性模量,弹性模量的值越大,内衬管的刚度也越大。
1.3内衬管的强度(承载力)
Nancy Ampiah(2008)对比分析了铸铁水管内安装树脂浸渍毡管时出现的褶皱对内衬管强度的影响。从加拿大一个施工现场取的三组常见的褶皱内衬管,采用基于裂片测试的方法,通过与无褶皱的内衬管相互之间对比分析(测试结果如图4),发现出现褶皱的地方是内衬管强度最低的地方,内衬管的失效破坏从这里开始;褶皱的形态和尺寸对内衬管的第一次开裂时的所能承受的载荷有显著影响,而对内衬管的最终承载能力的影响比对第一次开裂荷载小。

对于其他管材的圆形或椭圆形截面管道,同样存在相同的规律。因此,在内衬管的设计及安装过程中应该使内衬管与原管道紧密贴合,防止褶皱的出现影响整个系统的强度。
内衬管的设计应该充分考虑到安装过程中常常出现一些质量问题,美国的Raymond Sterling(2016)基于美国相应的ASTM测试标准,对取自北美11个城市的25个不同使用年限的修复重力式污水管道的CIPP内衬管样品进行了抗拉强度、抗弯强度等性能测试。测试结果发现,在内衬管的安装过程中存在一些质量问题,比如:内衬管与主管之间未能完全紧密贴合,内衬管的厚度未达到设计要求的厚度,这些都影响内衬管的强度和寿命,因此,合理设计和安装CIPP 内衬管可以使其使用寿命最大化。
输水管道运营过程中的冲击压力是工作压力的2到3倍,因此在进行该类管道的内衬设计时,需要考虑的内部压力应该包含工作压力、周期性的和偶尔的波动压力。为了更好地了解CIPP内衬管对冲击和周期性压力的响应,滑铁卢大学建设的新的衬垫压力测试设施可用于CIPP内衬管短期和长期爆破试验等,推动了CIPP压力内衬管设计的发展。
1.4管周土压力
埋地管根据其结构性能通常分为刚性管和柔性管两种。一般来说,地埋管支撑的能力来自两个方面:首先,地埋管承受外部荷载的固有强度;其次,地埋管两侧土壤的侧压力。侧向压力在管道环内产生的应力与垂直荷载产生的应力方向相反,从而帮助管道承受垂直荷载。埋地管道周围土压力的大小与土体条件、埋管深度和管土相互作用等因素有关,在管土相互作用方面,美国的U. LUSCHE(1965)讨论了在高荷载作用下埋地圆柱管与周围土体的相互作用。通过区分压力重分布、变形约束和拱起三种作用类型,可以最有效地分析相互作用现象。在系统变形较小的情况下,作用在管壁上的压力高度不均匀。当荷载增加时,原来的圆管变形成近似水平椭圆的形状,并在这一过程中调动了侧向被动土压力。不久,任何压力的增加都将以这样一种方式分布在管道周围,从而在管道中造成纯环压。基于这一环压缩理论的分析发现只要合理地设计和施工管-土系统,通过压力重分布实现管周围压力的平衡是安全可靠的,且系统的失效将由管的压缩屈服引起。对管-土系统的分析和设计提出了改进建议。
Burns和Richard(1964)认识到Marston/Spangler方法的缺点,并提出解决方案,适用于弹性的、埋深大的圆柱形管道,它被包裹在各向同性、均匀的无限弹性介质中,压力均匀分布在远离管道的水平面上。并提出了粘结和非粘结两种土-管界面条件的求解方法。在粘结界面的情况下,假定剪切应力和径向应力在管道与周围连续介质的界面上传递。对于无粘结界面,土与管道之间的界面不传递剪应力。建立了粘合和非粘结两种相互作用情况下径向压力、管道径向挠度、弯矩和推力的方程。
Elmer L. Matyas(1983)通过悬浮管道模型试验结果,得出了计算非屈服水平刚性管在沉降回填作用下所受的竖向土荷载。该计算方法得到的结果比实际竖向土荷载小,而根据实验结果曲线拟合得到的曲线方程可以很好的估算竖向土荷载。
对于埋地柔性管,周围土体显著提高了管的屈曲强度。仅通过无支撑结构的室内试验,无法确定埋地管的屈曲强度。在现场单独测试每一个结构也是不可行的。因此,需要建立理论模型来量化埋地柔性管的屈曲行为。A. D. SPASOJEVIC(2007)通过建立物理模型试验,以CIPP为例研究了土体荷载对大口径、密闭、无粘结、柔性的排水管道的影响。主管与周围土体的相互作用强烈影响着土体荷载向CIPP管道的传递,在土体荷载的长期作用下,管-土结构会变形并与内衬相互作用。此外,在管道系统运营过程中,地面荷载(如交通荷载等)通过影响管土相互作用,进而影响整个系统的稳定性,因此,合理的内衬管设计和安装还应该考虑到交通荷载等地面荷载的影响。
02.国内CIPP管道修复技术工程实践
随着我国城市管网的迅猛发展,已建成多年的城市地下管线开始出现渗漏、腐蚀、坍塌等问题,由于城市的建筑交通等设施密集,开挖修复对交通和居民生活造成的影响较大,因此,非开挖管道修复技术备受青睐。近年来,CIPP管道修复技术在管网修复领域应用越来越广泛。表1列出了我国CIPP管道修复技术的成功经典案例。
使用年限过长的老旧管道出现的问题一般是比较复杂的,包括淤堵、渗漏、腐蚀、坍塌等问题中的几种,需要先采取预处理措施才能进行CIPP修复。以四川省成都市金牛区星河路D400污水管线修复工程为例,现场管线受下游塌陷影响,上游管线淤堵,管线腐蚀严重且塌点较长。经过多次计算和研讨,最后将此工程分塌点处理、清淤和紫外光固化内衬修复三个阶段进行。修复后材料经试验其强度,耐腐蚀性,力学性能远高于同管径混凝土管。修复后的效果如图5所示,彻底解决了此段管线排水问题。

在国内CIPP修复工艺中内衬管的设计是根据《城镇排水管道非开挖修复更新工程技术规程》(CJJ/T210-2014)中的规定的计算公式进行壁厚计算。以成都市武都路、大安西路、大安东路、大安中路、华星路的污水管道修复工程的内衬管设计为例,通过检测发现现有管道受到严重腐蚀,因此按照结构性修复的计算公式进行壁厚计算。紫外光固化工艺为原位固化法中的一种工艺,其所用内衬管材料主要为玻璃纤维增强树脂基材料,根据《城镇排水管道非开挖修复更新工程技术规程》(CJJ/T210-2014)中的规定,其短期力学性能的最小要求应满足表2中的要求。

注:抗拉强度只对压力管道有要求。

其中材料力学性能按照最小要求值表2和表3中的材料性能作为临界点计算壁厚。对于弹性模量处于临界点之间的材料壁厚按照较低临界点计算的壁厚选取。其他参数按表4选取。临界点材料壁厚计算结果见表5。


最终本工程内衬管壁厚设计值应满足大于等于表5中的临界点材料壁厚值即可。
随着CIPP管道修复技术的不断推广与发展,该项技术在修复管道管径、管长及修复厚度等方面都取得了一定的突破,以北京市海淀区学知桥南的管线修复工程为例。该工程由三段组成,管径大小为D1200-1500。三段管线腐蚀严重且地上有一座高架桥,采用紫外固化内衬全结构修复,修复总长度为240米,修复厚度13mm~15mm。成功实现了CIPP修复技术在大管径,大厚度,大长度方面的突破,这在国内外都属于罕见工程案例。再以山东省临沂市青龙河污水管网修复工程为例,该工程采用紫外光固化修复的管径为DN1200,全长34段共1985.2m。
在利用原位固化法修复排水管道中,树脂的固化方式除了紫外光固化,还有热水固化和蒸汽固化,如济南市趵突泉公园污水管道出现渗漏严重,采用的就是热水固化树脂的内衬法进行修复,修复后管道严密性得到增强,大大增强了承压、耐腐蚀、抗渗能力。热水固化法是内衬法修复使用最早的一种方法,它使得长距离、大直径管道的内衬法修复成为可能。而天津市某新建产业园区道路和天津开发区内泰丰路污水管道的修复采用的都是蒸汽固化树脂法,修复后管道的渗漏问题彻底解决了。蒸汽固化法的主要优点是固化速度快,可应用于高差 <200ft(60m)的大斜度污水管道修复。
CIPP管道修复技术在我国还处于起步阶段,目前已有很多采用CIPP技术修复排水管道的工程案例。但是,相关理论的研究非常有限。舒彪等总结了CIPP技术在施工中常见的质量问题,包括针孔、缺口、起皱、开裂等,并分析了问题产生的原因,提出了一些解决方案。周律等以广州市中心城区DN300-800mm的地下排水管道非开挖修复为例,采用层次分析法,综合考虑施工条件、费用、效益等因素,对比分析了螺旋缠绕法、原位固化法和穿插法3中方法的适用性。孙跃平分析了CIPP内衬制管的构造设计和性能指标,在CIPP修复排水管道后,管道的结构以双层构造管为主,即旧管道承受地面荷载,内衬管承受地下水压。性能指标包括承荷载能力、耐腐蚀和耐磨损性能、水密性能。
依据《城镇排水管道非开挖修复更新工程技术规程》(CJJ/T210-2014)内衬管设计没有考虑原管道几个缺陷,包括褶皱、环状间隙等对圆周支撑系数K值的影响。安关峰等人针对这一问题进行了深入研究,针对不同公式分别采用工程案例计算了 CIPP 内衬的壁厚,并以此为依据提出了优化的 CIPP内衬外压屈曲设计方法。
在排水管道采用CIPP修复后的质量验收方面,遆仲森等对比分析了现场取样和室内铸样的力学性能测试试验结果,发现测试结果相差较大,因此,在管道原位同化法修复内衬管质量验收中,建议对内衬管进行现场取样检测。
李兆超用最小势能原理和薄壳理论,在平面应变状态下,推导出了不均匀厚度的柔性衬砌在均匀外压下的临界弹性屈曲压力的解析公式,并利用ABAQUS进行了有限元模拟,验证了公式的正确性。
在充分引进国外先进材料和技术工法并且不断吸取经验的基础上,我国CIPP管道修复技术日渐成熟,紫外光固化内衬修复技术已逐渐成为了排水管道非开挖修复的主流技术,在修复大长度、大管径病害复杂的管道方面都取得了突破,但是与国外相比在内衬管设计理论研究、修复长度、技术设备等方面仍然存在一定的差距,内衬管设计理论研究基本上都是在国外研究的基础上进行的。
03.CIPP管道修复技术的未来与挑战
根据原管道的破损情况,我们将其分为局部劣化和完全劣化两种类型。对于局部劣化的圆形管道,通过几种模型的相互对比,发现Glock模型的边际误差最小;Aggarwal和Cooper对内衬进行了外部压力测试。在试验中,衬管被安装到钢管中,在衬管和套管之间施加压力,并以约为预期失效压力的l/10的幅度逐渐递增,直至失效。观察内部,以确定何时发生膨胀。结果表明,试验失稳压力远大于由方程求得的理论失稳压力。衬管的抗屈曲能力在既有管道的约束作用下得到了显著增强。
对于局部劣化的椭圆形管道,Guice (1994) 将18个不同椭圆度的CIPP试样置于椭圆形钢管中进行测试,其中6根在不同椭圆度水平(5%,10%和20%)下测试,现场实践中椭圆度在10%左右波动。在试验过程中,只观察到屈曲破坏模式。在外力作用下,由于内衬管失稳而产生屈曲破坏。这种类型的破坏总是通过伴随的嘎吱声来识别,这表明了屈曲破坏的开始。在椭圆度为5%和20%的案例中,屈曲失效模式均为单波屈曲模式。分析表明,ASTM-F1216低估了椭圆形既有管道中修复的CIPP衬管结构的屈曲压力。在椭圆度5%的情况下,实际的屈曲压力被低估约44%;在椭圆度10%的情况下,实际的屈曲压力被低估约45%;在椭圆度20%的情况下,实际的屈曲压力被低估约56%。由于屈曲压力被低估,因此从设计的角度来看,这种分析是保守的。
对于完全劣化的管道,ASTM F1216-93(公式X1.3)中介绍了目前安装在完全恶化的主管道中的CIPP的设计方法。在AWWA方程中增加了椭圆度和安全系数(见式(8))。AWWA方程是在Lusher(1966)提出的用于预测埋地挠性管屈曲压力的方程的修正方程。
最新修订的ASTM F1216-17对于安装在完全恶化的管道上的CIPP的计的主要缺点是:
(1)没有计算外载荷q的准则,而是取决于设计者的判断;
(2)该方法利用地基土反力模量来表示周围土体,而地基土反力模量很难准确获得;
(3)该程序将管道屈曲破坏作为唯一的设计准则,忽略了其他预期的破坏准则。
纵观国内外有关CIPP管道修复技术的科研成果与工程实践,该项技术在非开挖管线修复领域占据比较重要地位,以其新旧管道紧密贴合、无需灌浆、施工速度快、工期短、内表面光滑等优点被广泛应用于污水管道的修复。随着管线问题的日益突出及可持续发展理论的提出,这都给CIPP修复技术提出了更高的要求,致使该项技术面临以下几方面的挑战:
(1)CIPP管道修复领域的相关标准还需要进一步细化和完善,在《城镇排水管道检测与评估技术规程》CJJ 181-2012中将结构性缺陷程度划分为四个等级,其中Ⅱ、Ⅲ等级的修复工艺需要进一步补充;
(2)未来用于CIPP管道修复的更加耐腐蚀、高承载力、更环保内衬管新复合材料的研发,将进一步增加修复之后管道的使用寿命,进而推动CIPP技术的发展;
(3)相关理论有待更加全面的研究,内衬管屈曲的设计研究应该不仅仅是在假定周围是均匀的静水压力,应该更多的结合工程实际,研究非均匀荷载的计算模型,并且要考虑原管道的破损情况;
(4)未来地下空间建筑信息模型(BIM)的建立,为管道修复设计、施工、质量评估等提供了更加详细完备的资料。同时,也能为保证管道修复工程的安全性、适用性和耐久性奠定基础。
04.结语
通过对国内外CIPP管道修复技术的回顾,得到了如下结论:
对于局部劣化圆形管道情况:
1)与其他分析模型相比,Glock模型的边际误差最小;
2)ASTM-F1216中方程X1.1与实验结果有较大偏差,建议的增强因子K在不同产品之间存在显著差异。
对于局部劣化椭圆形管道情况:
1)在试验过程中,只观察到屈曲的破坏模式。然而,屈曲并不是CIPP的唯一失效形式。事实上,最近在路易斯安那理工大学对其中一个CIPP系统进行的实验研究中,发现了另一种失效模式。失效被确定为衬管壁的分裂。造成这种失效的真正原因还不清楚。因此,今后的研究应集中于研究其他可能的失效模式,还需要确定这些失效模式是在什么条件下开始的;
2)随着管道椭圆度的增大,管道的屈曲压力不断减小;
3)ASTM-F1216,方程X1.l低估了所有测试的椭圆度的屈曲压力。对于5%的椭圆度,它与实验结果的偏差为44%;对于10%的椭圆度,它与实验结果的偏差为45%;对于20%的椭圆度,它与实验结果的偏差为56%。
需要进一步的实验和分析研究来验证所提出的模型,并验证考虑本研究未包括的参数的CIPP系统的行为,如:
1)其他几何形状或SDR值的影响效果;
2)CIPP材料随时间的粘弹性(蠕变)行为;
3)其他类型的既有管道异常的影响,如局部既有管道上的小缺陷;
4)CIPP衬管和既有管道之间的间隙大小对结果的影响。
对于完全劣化管道,在大多数情况下,恶化的管道是漏水的管道,允许地下水和细颗粒从管道周围的土壤渗入。细小颗粒的移动造成了管道的空隙,改变了管道周围区域的机械性能。因此,ASTM F1216-17对于安装在完全恶化的管道上的CIPP的设计中用一个地基反力模量值来表示土,忽略周围土体管道力学性能的变化,可能会导致设计不安全。需要另一种方法来考虑管道周围土壤和整个土壤介质之间的力学性能差异。
总的来说, CIPP内衬管的设计规范中缺乏计算完全劣化管道外荷载的准则,并且在考虑管土相互作用时,利用地基反力模量值表示土体,忽略了周围土体管道力学性能的变化。而对于局部劣化管道,不止屈曲一种失效模式,且在研究内衬管屈曲稳定性时基本上都假设其承载均匀静水压力,缺乏非均匀荷载状态下的研究,未来应该研究其他可能出现的失效模式以及失效的原因。未来CIPP将会更加成熟并且在排水管道修复中将发挥着越来越重要的作用。
向维刚1,马保松2,赵雅宏1
(1.中国地质大学 工程学院,武汉 430074;2.中山大学 土木工程学院,珠海 519082)












