城市污水处理厂对实现水环境质量改善和污染总量减排担负着重要作用,污水处理厂进水的水量水质变化关系到污水处理厂的稳定运行以及出水的稳定达标排放。由于污水水量和水质受到多种因素影响,城市污水处理厂进水的负荷变化较大,会对污水处理厂的正常运行和管理产生不利影响。因此,研究污水处理厂的进水变化规律及其特性,特别是针对工业废水和生活污水混合且工业废水占比较高的污水处理厂,有助于提高污水处理厂的运行效率和水平,对改善污水处理厂的出水水质以及降低运行费用也具有重要价值。
本文针对某工业废水和生活污水混合的污水处理厂进水的水量水质指标开展相关研究,分析进水水量和水质的变化特征,考察COD与水量、氨氮、总磷、BOD之间的相关关系以及进水集中度的变化规律,提出了提高污水厂稳定运行的相关措施,以期为污水厂的稳定运行以及出水的稳定达标排放提供参考。

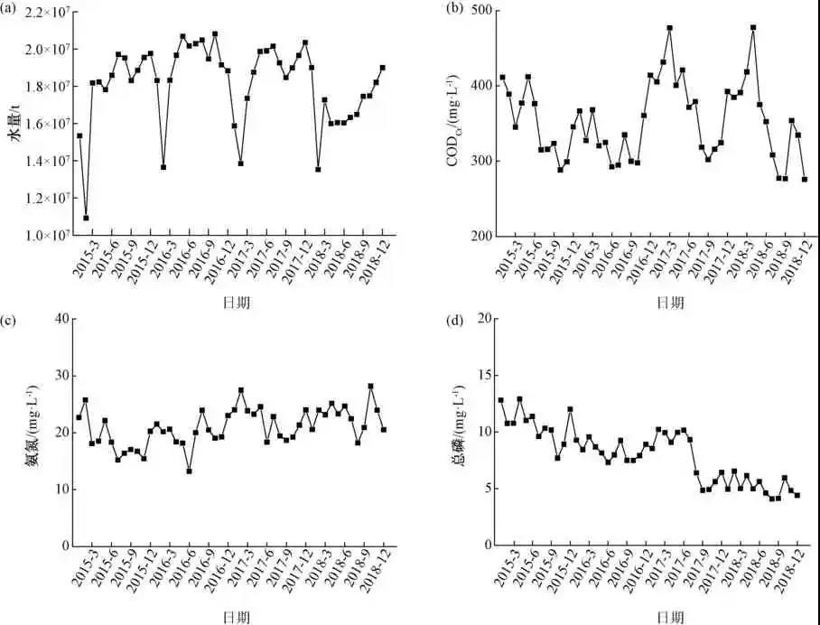
(a)水量;(b)COD;(c)氨氮;(d)总磷
图1 某污水处理厂进水水量和水质的月变化规律
Part 1 研究方法
针对我国南方平原河网区域某城市的工业生活混合污水处理厂开展相关研究,该污水处理厂日处理设计能力为60万t,其中工业废水占比约50%。工业废水的组成以印染废水、造纸废水、光伏电子废水为主,主体工艺采用AO处理工艺。以该污水处理厂提供的2015年—2018年进水水质每日的实测数据为基础开展相关研究,作图分析采用Origin 9软件。
大量的监测指标历史数据可反映污水处理厂处理工艺单元的运行规律,因此,拟通过分析由监测指标历史数据构成的时间序列散布特征,评估污水处理厂长期运行的稳定性,进而建立反映污水处理厂稳定性的评价指标体系和分析方法。苏魏等开展的城市污水处理厂运行稳定性评估方法表明,进水的集中度能够很好地代表进水的稳定性,因此,污水处理厂进水稳定性由集中度来表征,采用标准差系数来直接量度,如式(1)。

Part 2 结果与讨论
2.1 进水水量和水质的月变化规律分析
该污水处理厂在2015年—2018年进水水量和水质COD、氨氮、总磷的变化规律如图1所示。进水水量在不同月份的波动性变化较大,特别是每年的2月,水量降低显著,每年的年末水量增加显著。分析其原因,主要是该污水处理厂进水中工业废水约占一半,工业企业生产的季节性变化导致进水水量的波动性较大。进水COD的波动变化也较大,其原因还是与工业废水占比较高有关,当工业废水排放中有大量高COD的废水进水时,污水厂的进水COD也会较高。进水氨氮相对较稳定,基本在15~25 mg/L,其原因可能是工业废水中的氨氮排放量较稳定。
孙艳等的研究表明,北京市某污水处理厂各污染指标随季节变化呈现出较一致的规律性,7月—9月各水质指标浓度均明显低于其他月份,其主要原因是夏季雨水导致进水流量增大。与之相比,该污水处理厂在雨季的进水水量与其他月份相比,也有升高的趋势,而水质指标并不高,这也说明存在外来水量及降雨混入的影响。另外,进水的总磷近年来逐渐降低,主要是因为近年来的工业结构调整,排放磷的相关企业数量逐渐减少。
2.2 进水水量和水质的频率分析
该污水处理厂在2015年—2018年进水水量和水质COD、氨氮、总磷的频率分布规律如图2所示。进水水量服从偏正态分布,水量的变化在1.8×108~2.1×108 m3/月。进水COD的变化区间各不相同,主要是因工业废水排放的波动性较大。进水氨氮的变化服从正态分布,总磷的变化区间较平均,这可能是由于近年来影响磷排放的企业数量逐渐减少,磷的排放量稳定降低。
孙艳等的研究结果表明,北京市某污水处理厂的进水水质BOD浓度正态分布拟合曲线与标准正态分布曲线相比不是完全对称曲线,且频率分布的高峰向左偏移,长尾向右延伸,BOD浓度分布呈正偏态分布。与之相比,该污水处理厂的水量频率分布规律也呈正偏态分布,而氨氮指标的分布规律接近于正态分布,COD和总磷的分布规律与正态分布关系不大。

图2 进水水量和水质的概率分布分析
2.3 进水的BOD/COD特征分析
在城市污水中BOD/COD体现了可生物降解的有机物占总有机物量的比值,可在一定程度上预测污水的可生物降解性,常用来评价污水的可生化性。当BOD/COD<0.1时,不适于生物处理;当0.2<BOD/COD<0.4时,表明废水中存在难生物降解性污染物;当0.4<BOD/COD<0.6时,适于生物处理。
该污水处理厂在2015年—2018年进水BOD/COD变化规律如图3所示。进水的BOD/COD普遍位于0.3~0.34,由此说明,进水中含有大量难生化降解的污染物。孙艳等的研究结果表明,北京市某污水处理厂BOD/COD相关性显著,R2可达0.81,其原因主要是污水的来源是生活污水,工业废水量较少,可生化性较好。而该污水处理厂的进水可生化性较差,这就要求污水处理厂的处理工艺进行必要的调整,以保证最终的出水能够稳定达标排放。

图3 污水处理厂进水BOD/COD的变化特征分析
2.4 进水COD与相关指标的相关性分析
2015年—2018年,该污水处理厂进水COD与水量、BOD、氨氮、总磷的相关性规律如图4所示。进水COD与进水水量以及总磷的相关性不显著,分析原因可能是进水中工业废水占比较高;总磷与COD排放的相关性不显著,是由于排放含磷较高废水的工业企业不定期排放;进水COD与BOD以及氨氮的相关性较显著且稳定,这与进水中工业废水占比较高的分析相一致。进水总磷波动较大,说明在污水厂的运行中需注意磷的去除情况,如有必要可增加强化除磷措施。
孙艳等的研究结果表明,COD与BOD的相关性较好,这与本研究的分析结果相一致。

(a)COD与水量;(b)COD与BOD;(c)COD与氨氮;(d)COD与总磷
图4 污水处理厂进水COD与各指标的相关性分析
2.5 进水的稳定性分析
2015年—2018年,该污水处理厂进水水量、COD、BOD、氨氮、总磷的稳定性(集中度)如表1所示。该集中度将一年周期内每日的相关数据进行集中度值的计算。2015年—2018年,进水的水量逐渐稳定,而进水COD、BOD、氨氮、总磷的波动性较大。分析原因是工业企业排放的废水在污水厂进水中的占比较大;进水中工业废水比例较高且随生产周期和季节性等因素波动大,严重时影响污水处理厂的稳定运行;此外,雨天时雨水接入污水管网造成污水厂进水冲击,也会影响污水厂的稳定运行。
由于该市城区污水系统采用长距离污水管网输送系统+末端联合污水处理厂的运行模式,长距离管网系统中不同空间点位与不同污水输送提升单元之间,存在生活污水或工业废水流经时间差。因此,针对管网系统进行调查改造来减少外来水量接入,利用长距离管网系统的蓄容空间来缓解进水水质水量波动对污水处理厂运行的冲击,对提高污水处理厂的进水稳定性具有重要作用。

进水稳定性分析结果表明,影响进水稳定性的主要原因是工业污染源的排放。因此,可通过以下措施提高进水稳定性:在污水泵站、管网与处理设施部署的物联网传感设备获取动态数据,建立污染源、污水管网和污水厂监控系统,开发基于数学模型和深度学习的专家预测系统与自动反馈控制系统,通过动态监控预警和生活污水/工业废水排放协同调控,以及雨季管网、泵站系统优化调控,有效缓解进水水量和水质波动的冲击,进而提高污水处理厂的进水稳定性。
2.6 进水稳定性优化的相关策略
针对影响该工业生活混合污水处理厂进水稳定的工业废水占比高、水量水质波动大的突出问题,调查影响进水冲击负荷的特征性工业废水的类别,进而根据特征污染物的排放浓度以及对污水厂稳定运行产生影响的关键性指标进行分析。
在污水外排水量和污染负荷监测数据的基础上,结合模型模拟不同降雨条件、不同季节、不同节假情况,对外来水量给管网带来的冲击影响进行评估,定量分析外来水量比例,建立污染源—污水管网—污水处理厂耦合的网厂联合调控数学模型,依托工业污染源—污水管网—污水处理厂综合调控与监管平台,实现生活污水/工业废水排放协同调度。
在雨季开展管网、泵站系统优化调控,显著缓解了进水水量和水质波动的冲击复合,进而提高污水处理厂的进水稳定性。例如,工业污染源—污水管网—污水处理厂综合调控与监管平台,在污水管网应急处理工况条件下,可采取管网调控的方法,减缓负荷冲击到达污水厂进水的时间,以减少进水负荷变化对污水厂的冲击;在雨季条件下,可通过提前预警减少管网负荷率,在降雨条件下减少对污水厂进水水量的冲击;在工业废水特殊超标排放的情况下,通过平台的在线预警功能,启动管网调控模型模拟方案,降低工业废水对进水水质的影响,进而提高进水的稳定性。由表1可知,该工业生活混合污水处理厂2018年进水水量和水质与前几年的情况相比,进水的水量和水质的稳定性均得到了大幅提高。
另外,在该污水处理厂内部,针对工业废水占比高、水量水质波动大等难题,以稳定达标排放为目标,还充分利用了AAO处理工艺,开展低碳氮比、低碳源品质城镇混合污水强化脱氮除磷、基于粉末载体吸附功能的多级活性污泥-生物膜耦合污水处理、原位生物强化深度脱氮等关键技术,确保了污水厂出水全面实现出水稳定,达到《城镇污水处理厂污染物排放标准》(GB 18918—2002)一级A的排放标准。例如,从出水的水质指标来看,2017年和2018年出水COD的集中度分别为0.16和0.09,出水氨氮在1 mg/L以下的天数占当年天数的比例分别为80%和90%。由此表明,进水稳定度的提高对污水处理厂的稳定达标起到了较好的效果。
Part 3 小结
(1)该工业生活混合污水处理厂的进水水量和水质的变化特征具有明显的周期性,特别是每年2月,水量大幅降低;工业废水占比较高,进水的可生化性较差,BOD/COD普遍位于0.30~0.34,表明废水中含有大量难生化降解的有机污染物;进水水量、COD和氨氮的稳定性从2015年—2018年呈逐年提高的趋势。
(2)基于建立的工业污染源—污水管网—污水处理厂综合调控与监管平台,以及生活污水/工业废水排放的协同调度以及雨季管网、泵站系统的优化调控,能够有效缓解进水的水量和水质波动的冲击负荷,进而提高污水处理厂的进水稳定性,可为污水厂的稳定运行以及出水的稳定达标排放提供参考。
个人介绍

曾旭,男,博士,副研究员,同济大学环境科学与工程学院。
研究方向:区域水环境综合治理。主要从事水污染控制理论与技术研究工作。
E-mail:zengxu2006@163.com。
更多信息
曾 旭1,王荣昌1,*,马翠香1,张荣斌2,马晖斌2,韩 明2,陆海涛2
(1. 同济大学环境科学与工程学院,同济大学长江水环境教育部重点实验室,上海 200092;2. 嘉兴市联合污水管网有限责任公司,浙江嘉兴 314000)
注:本文发表在《净水技术》2020年第5期“水体污染控制与治理”科技重大专项成果专栏,有删减。
来源:净水万事屋












