导 读
国际水协的ASM活性污泥数学模型是污水生物处理工艺研究与过程模拟的基础平台,也是污水生物处理商业模拟软件的后台引擎与技术核心。作者通过与ASM相关的软件编程体会,系统地介绍了ASM模型体系的历史起源、基本结构和应用特点,对于还没有接触过ASM模型、但希望了解和学用ASM模型的污水处理工艺设计人员和读者是非常好的借鉴资料。文章最后推荐的参考书和简要书评,更是为读者送上的暖心贴 .
0 前 言
提到活性污泥法的数学模型与模拟,人们往往首先会想到常见的几种商业应用软件,比如GPS-X™、BioWin™、Simba®、SUMO™、WEST®、Matlab/Simulink™ 等等。由于这些软件的高度可视化与直观方便的拖放功能,软件使用者很难再有机会去接触和认识软件后台的模型核心技术。其实,在二级生物处理部分,所有这些商业软件的后台引擎都使用了完全相同或类似的内核模型,即国际水协IWA颁布的活性污泥法系列数学模型 ASM 1/2d/3以及它们的扩展模型。显然,如果能够进一步了解ASM模型体系的基本思想和原理,对于加深理解活性污泥法机理、准确把握生化反应动力力学参数和更有效地使用现有的商业软件无疑都将是非常有帮助的。
最近使用Python 3语言完整实现了ASM 1/2d/3模型的全部运算和模拟功能,从而有机会以程序源代码的方式零距离体验ASM模型的构架体系及其开发思路,收获一点心得,在此与希望了解ASM模型的污水生物处理工艺同行们分享。
1 活性污泥法数学模型ASM简要历史回顾
活性污泥法数学模型的研究始于上个世纪四十年代莫诺(Monod)方程的推出和应用,但进展缓慢,模型的工艺基础也比较离散,更没有完整的模型构架体系,那时出现的一些数学模型也不能很好地用于实际研究和工程设计。1981年,时任国际水污染研究与控制协会(International Association of Water Pollution Research and Control,IAWPRC,即现在的国际水协IWA前身)主席的丹麦技术大学Poul Harremoes教授(已故)提议成立一个技术委员会(Task Group),将当时比较好的几种模型进行合并,并希望以此推动和加速建立一个具有 “国际共识” 的模型以及可扩展的模型框架体系。在IAWPRC的资助下,活性污泥法数学模型技术委员会于1982年正式成立,并召集了当时在这个领域最有影响的四位教授,同时还特别邀请了一位亚洲代表加入。技术委员会的这五位学者是当代活性污泥法数学模型体系的奠基人,他们是:
Mogens Henze (Task Group Chairman), Technical University of Denmark, Denmark
C.P. Leslie Grady, Clemson University, USA
Willi Gujer, Swiss Federal Institute for Aquatic Science and Technology, Switzerland
Gerrit v.R. Marais, University of Cape Town, South Africa (已故)
Tomonori Matsuo, University of Tokyo, Japan
1987年,活性污泥数学模型技术委员会颁布了活性污泥法1号模型,即ASM 1。凭借深入的理论依据、巧妙的数学方法和灵活的可扩展框架, ASM 1发布后立刻在污水处理行业引起轰动,博得一致赞扬,并由此拉开了活性污泥法数学模型快速发展的序幕。在随后的十三年间,技术委员会的成员虽略有变化(详见本文推荐的参考书),但仍按照ASM 1的开发模式陆续颁布了ASM 2(1995)、ASM 2d(1999)和ASM 3(1999及2000)模型,分别对应生物除磷以及更新的基质代谢和微生物生长理论,并用ASM 2d完全取代未能反映聚磷菌反硝化作用的ASM 2。与此同时,还有其他学者、研究机构和公司在ASM模型的框架基础上提出了更多的对应不同工艺机理和背景的数学模型,其中最有代表性的如UCTPHO模型(Wentzel et al.,1988,1989)、B&D模型(Baker and Dold,1997)、ASM3-Bio模型(Rieger et al.,2001)、TUDP模型(Meijer,2004)以及UCTPHO+(Hu et al.,2007)等等。这些模型在表达形式和数学方法上与ASM模型保持一致,因此它们的应用和推广具有很强的通用性和互换性。理论上讲,活性污泥法的各种相关变形工艺的数学模型都可以在ASM模型的平台上实现。
ASM模型所建立的方法还被借鉴用于污泥处理工艺模型的开发,如2002年IWA颁布的厌氧消化池模型ADM 1,其建模过程要比活性污泥法更为复杂,不但涉及厌氧生化反应和各类抑制因子,还包括酸碱动态平衡与气液传质等过程,但在数学表达和处理方法上则完全借鉴了ASM模型的做法。从这一点也可以看出,ASM所代表的模型方法,对污水处理行业的工艺模型研究和发展有着重要的借鉴和推动意义。
ASM数学模型方法的确立与平台的颁布是活性污泥发展史上最重要的里程碑,它的出现不但为商业模拟软件的开发、推广和应用提供了最有力的后台支持,同时也使活性污泥法的工艺研究效率和设计准确度明显提高,成本大幅降低。建立在ASM模型基础上的过程模拟技术可以用于处理厂的工艺运行优化,帮助处理厂实现提高处理可靠性、节约成本和降低能耗的目地。从ASM 1首发至今已经三十多年,但ASM系列模型对污水处理活性污泥工艺技术发展和运行的影响却丝毫没有减弱。截止到目前,ASM 1,ASM 2d和ASM 3在活性污泥法各类模型使用频率统计中仍占据着前三的排名。从网上查一下相关的资料不难发现,在污水生物处理各种工艺的开发研究和设计模拟中都可以看到ASM模型方法的借鉴和应用。可以预期,在经济效益、技术效益、社会效益以及环境效益等多重市场驱动力的影响下,伴随着网络传输速率的大幅提升、云计算以及AI与Digital Twin等现代技术的渗透和应用, ASM数学模型将在智能化城市污水处理运行管理、污水排放优化调度、操作流程模拟培训以及新工艺研发等众多环节和工作中得到更广泛的应用,发挥更重要的作用。
2 ASM 模型基本框架
ASM模型的基本框架大致可以归纳为以下五个方面:
以微生物增长作为生化反应动态分析基础;
以COD作为有机物计量基准;
过程动力学模型矩阵表示法;
计量系数一致性校验;
物料平衡微分方程组的建立与求解。
2.1 以微生物增长作为动态分析基础
作为活性污泥工艺的数学模型,ASM必须能够定量描述各种反应物和生成物随时间变化的速率和数量关系,也就是进水中有机物物与营养物、微生物种类和数量、溶解氧以及出水各项物料之间的动态变化关系。因此,选择一种改变量作为其它物料改变量的计算基准是建立数学模型的第一步。ASM模型明确规定,使用微生物增长量作为其它物料改变的计算基准。
ASM使用微生物增长量作为基准的规定,与我们通常的习惯做法略有不同。在活性污泥法中,我们定义产率Y的单位是g细胞增长量/g有机物基质去除量,这个定义等价于以基质去除量作为基准来描述微生物的增长量,因为微生物增长量 = Y 基质去除量。但在ASM模型中,微生物增长量是基准,我们只能倒过来使用1/Y g有机物去除量/g 细胞增长量作为二者间的系数,即基质去除量 = 1/Y 微生物细胞增长量。如果要建立基质与异养菌微生物的微分方程,假定基质量为S,微生物量为Xh,按照ASM的规定,二者关系的正确表达应为dS/dt =-1/Y dXh/dt(微生物量增加,基质量减少)。以此类推也不难得出溶解氧(So)与异养菌微生物量的微分表达式在ASM模型中应是 dSo/dt = -(1-Y)/Y dXh/dt,等等。
其实Y和1/Y并没有本质的区别,只是调换了表述方向,Y是以基质去除为基准的,而1/Y是以微生物生长量为基准的,后者是ASM模型中规定使用的方法。这也是为什么在查看有关的书籍和技术资料时,会看到1/Y出现的频率特别高。
2.2 以COD及其分量作为有机物计量基准
ASM模型并没有采用最常见的BOD 作为有机物的计量。“抛弃” BOD 的做法可能会让很多工艺人员不适应。不过BOD 毕竟只是全部可生物降解物质的一部分,而且它与全部生化需氧量的关系也是非线性的,折算过程还需要反应动力学参数的支持,测量耗时不说,最终的结果还不准,因此ASM没有使用BOD 就不难理解了。早在1995年就曾听说欧美很多国家都开始采用COD作为设计和设备选型的依据了;北美污水处理行业的 “圣经” 级教科书《Wastewater Engineering》目前最新的第五版更是通篇采用COD及其各种分量来讨论问题。所有这些都与ASM采用COD作为有机物计量基础相一致。
鉴于上述原因,在使用ASM模型的时候,必须先掌握进水中COD及其各个分量,比如可即时生化降解化学需氧量rbCOD,可生化降解化学需氧量bCOD、溶解性可生化降解化学需氧量bsCOD、颗粒可生化降解化学需氧量bpCOD、溶解性不可生化降解化学需氧量nbsCOD、颗粒不可生化降解化学需氧量nbpCOD等等,并将这些分量与模型定义的状态变量(见下节)做对应或转换。这个步骤对于运行ASM模型是必须的。
2.3 数学模型矩阵表示法
可以毫不夸张地说,矩阵表示法是ASM模型原理中最精妙的一笔,它使活性污泥法建模工作成为一种极具艺术感的、简洁而规范的方法,不同工艺模型的开发得以在相同的方法下实现。因此ASM模型除了本身的功能,更是一个拥有扩展能力的通用模型平台,极大地提高了建模的工作效率,对于组建复杂的工艺过程模型具有深刻的指导意义。下面先通过一个简单的特例来说明矩阵表示法的含义和思路。
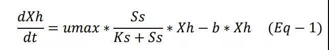
假设有一个好氧生化反应,我们只考察反应过程中的三种物料变化,即微生物量Xh,基质量Ss以及溶解氧量So。反应过程假定只考虑生物增长和衰减两项。在ASM模型体系中,Xh,Ss和So等物料均被称为状态变量(State Parameters)或组分(Components)。
根据污水生化处理基础理论中的莫诺方程式以及微生物衰减速率与微生物量成正比的关系,微生物生长速率可以表示为:
上式中umax是异养菌最大比生长速率,Ks是异养菌半速系数,b是异养菌衰减速率系数。
根据前面第1点所述,以微生物增长量为基准,污水水中溶解氧量的变化率可以进一步表示为:
同理,基质的变化率可以表示为:
ASM模型矩阵表示法的基本思路就是用一个表格(或矩阵)来概括上面所有的状态变量、所有的反应式以及所有的反应系数,具体方法是: 用表格的第一行罗列所有状态变量,用表格的最后一列罗列所有反应速率公式,在行、列交叉处放置相应的反应系数,如果状态变量与生化反应没有关联(例如Ss和So都与异养菌衰减过程没有关联),则交叉处用零或空格补齐。这样处理后的结果如下面表-1所示:

如果把表-1中的第一行作为状态变量矢量(绿色,S),把最右侧的反应速率方程列作为反应方程矢量(蓝色,R),中间的系数表格作为反应系数矩阵(杏黄色,C),那么上述公式Eq-1、Eq-2、Eq-3就完全等价于以下矩阵的微分方程式:

如果把Eq-4展开,就将得到与Eq-1/2/3完全相同的表达式。这里的ʘ是指矩阵的点积运算(也称标量积或点乘)。请注意,反应系数矩阵C在参加点积运算之前需要转置。上述矩阵方法最早在生物化学中采用,称为Petersen矩阵。写到这里,不得不由衷地感谢ASM技术委员会,有了这个矩阵方法,如此复杂繁琐的活性污泥法竟然可以用如此巧妙简洁的方式来表述。如果说这是活性污泥法技术发展史中最惊艳的一笔,应当不过份。顺便提一下,最早将Petersen矩阵引入到活性污泥法模型中的是ASM技术委员会的Willi Gujer教授,令笔者膜拜不已。
上面通过表-1和公式Eq-4演示了ASM模型矩阵表示法的基本原理和方法。众所周知,生化反应中的任何一个状态变量在反应器中都遵循 净增量 = 流入量 - 流出量 + 反应量 的物料平衡方程式,而ASM模型所提供的正是反应量这一项。因此,代入适当的初始条件就可以求解反应系统的物料平衡方程式,得到每个状态变量随反应时间的动态变化情况,从而实现对整个工艺过程的模拟。
ASM模型实际包含的状态变量和反应种类要比上面的例子多很多,但基本步骤和思路完全相同,只要记住上面的矩阵微分方程式Eq-4,无论状态变量和反应式有多少,处理的方法都是一样的。以ASM 1模型最初发布的版本为例,规定的状态变量为13个,覆盖的反应速率方程为8个,矩阵结构参见表-2。

备注:表-2是ASM 1的最初版本,该版本后来被修订为14个状态变量,增加了反硝化产生的氮气,个别反应式也做了修正,增加了反应速率抑制因素等等。关于ASM 1模型的后续修订详细内容,包括纠错,补遗和变量新命名法则等等,请参见本文推荐的参考书 。
在ASM模型体系中,所有状态变量命名的字母开头都是“S”或“X”。“S” 表示该变量为溶解性物质,即便是气体,也是指该气体溶解到水中的浓度;“X” 表示该变量为颗粒物质浓度。溶解性物质可以直接参与生化过程反应,颗粒物质则必须先经过水解反应成为溶解性物质后才能参与相应的反应过程。另外,溶解性物质在工艺中的固液分离操作中可以不受影响,但颗粒物质则可以得到浓缩或截留。(备注:IWA后来在2010年颁布过一个全新的模型状态变量命名框架,但开头字母的含义并没有改变。本文仍沿用ASM原始的变量命名。)
从ASM模型矩阵中可以看出,某状态变量(或组分)所处的列汇集了该变量在各个反应中的反应速率系数;而某一反应所处的行则代表了各个变量在该反应中相互转换的数量关系。需要注意的是,上面表-2里面的很多系数或常数都是经过试验室测试确定的,而反应速率矩阵中的很多动力学参数大都与温度相关,使用时需要做温度修正。对于一般市政污水,这些参数基本可以大致套用ASM的原始参数,或仅对某些关键参数进行微调;对于工业污水,往往需要根据实际水质对这些参数进行较大幅度的调整或标定。
从上述ASM矩阵列表还可以看到一个很有意思的现象,就是在所有与生物代谢反应相关的速率表达式中,差不多都是类似于因子 B/(A+B) 连乘的格式。在这些因子中,其中一个属于莫诺方程,而其他的因子都称为开关函数,因为A和B的特殊取值可以使该因子的数值接近0或接近1,就像给反应过程加了开关,利用这些因子就可以描述某些水质参数对整个反应速率的影响。例如上面矩阵第二行的反硝化反应,其中因子Sno/(Kno+Sno) 是莫诺方程的一部分,而因子Ss/(Ks+Ss) 此时就相当于碳源的开关函数,它表示当溶解性有机基质或碳源的浓度比较低时,反硝化反应将接近停止,相反当碳源浓度较高时,反硝化反应速率将接近最大化;该公式中的另一个因子Koh/(Koh+So) 相当于溶解氧的开关函数,它说明较低的溶解氧含量有利于反硝化反应的进行,而当溶解氧浓度较高时,反硝化反应将受到一定程度的抑制甚至完全停止。开关函数是ASM模型技术委员会引入的一个重要概念和技巧,它使众多生化反应参数之间的相互制约和影响的定量化描述成为可能。开关函数在其它的工艺模型体系中(如消化池ADM模型)也得到大量的应用。
由于本小节的重点是介绍模型的矩阵表示法,这里仅列出ASM 1模型矩阵所涉及的各个状态变量和反应式,但不做详细说明了。如果希望进一步了解ASM 1/2d/3的所有状态变量和反应式,请参考本文推荐的参考书。
ASM 1模型的状态变量(最初版本,共13项,参见上面表2):
SALK:碱度(摩尔单位)
Si:溶解性惰性有机物浓度
Ss:溶解性可生化降解基质浓度
Xi:颗粒惰性有机物浓度
Xs:可溶性可生化降解基质浓度
XBH:活性异养菌生物污泥浓度
XBA:活性自养菌生物污泥浓度
XP:微生物衰减产生的污泥颗粒浓度
So:溶解氧浓度(单位为 -COD)
SNO:硝酸盐氮与亚硝酸盐氮浓度
SNH:氨氮浓度(NH3 + NH4)
SND:溶解性可生物降解有机氮浓度
XND:颗粒可生物降解有机氮浓度
ASM 1模型的生化动力学反应(最初版本,共8项,参见上面表2):
异养菌好氧增长
异养菌缺氧增长
自养菌的好氧增长
异养菌的衰亡
自养菌的衰亡
溶解性有机氮的氨化反应
有机质的“水解”反应
有机氮的“水解”反应
2.4反应计量系数一致性校验
前面已经提到,ASM模型使用COD作为有机物的计量基准,除此以外ASM模型还使用其它几种计量基准物计量非COD物质。反应计量系数的一致性效验是指每个生化反应涉及的各个状态变量相对于各个计量基准物的物料必须是平衡的,也就是要遵循物质不灭定律。ASM 1使用COD、N和电子迁移数Charge作为计量基准,所有有机物均以COD为单位计量,所有含氮化合物均以N为单位计量,电子迁移以迁移电子数Charge为单位计量,参与某一反应的所有状态变量关于COD、N以及迁移电子数必须是平衡的;再如ASM 2d模型,由于引入了化学除磷和生物除磷,计量基准物除了COD、N和电子迁移数Charge以外还增加了P和TSS,各个状态变量相对于这五个基准物必须满足物料平衡条件。
一致性校验需要用到基准计量物折算系数。ASM 1的基准计量折算系数参考下列表-3。其他模型的基准折算系数请参见本文推荐的参考书。

一致性效验就是要校核每个计量基准物在各个生化反应过程中是否是物料平衡的,具体验算准则是:在ASM模型矩阵中,每一行中的每个反应系数与相应的计量基准折算系数乘积的总和必须等于零,或至少其绝对值不得高于1x10-15,否则说明模型中的反应系数数值不正确,或是模型可能有结构性缺陷,这些错误会使模型计算结果发生较大偏差,不能准确反映工艺过程的真实状态。
另外,上面的一致性校验步骤还可以归结为更简洁的实现方法:如果把表-3也视为一个矩阵,则一致性效验等于表-2的反应系数矩阵与表-3矩阵的点积运算,点积后的结果仍是一个矩阵,矩阵的行对应于模型的生化动力学反应,矩阵的列对应于模型的计量基准物,矩阵中的每个元素的数值必须是零或绝对值不超过1x10-15。
在某些特殊的处理工艺研究和建模中,有时候需要在ASM模型的基础上增加或定义额外的状态变量和反应过程,以便更合理、更准确地描述实际工艺过程,但所增加的变量和反应过程往往与多个甚至所有其它变量有关联,物料平衡关系也可能比较复杂,有些关联或关系容易在建模时被遗漏或误判。这时一致性校验就显得非常必要和实用了,因为通过一致性校验计算,马上可以发现问题,从而避免错误的发生。
2.5 ASM模型数值求解
从前面讨论的内容不难看出,运行和使用ASM模型大致可分为两个步骤:第一步是在各个状态变量变化速率表达式的基础上,建立物料平衡方程式,再配以初始条件,得到描述生化池中活性污泥工艺物料平衡的微分方程组;第二步是求解这个方程组并得到各个状态变量随反应时间的变化情况,从而实现对活性污泥法工艺过程的动态模拟。
2.5.1 建立微分方程组
在这项工作开始之前,通常需要先考察实际生化池的池型与尺寸,并将实际池体分解为基本反应器的组合。例如,一座圆形或正方形的布满曝气头或安装中心表曝机的曝气池基本可以视为一个连续流完全混合型反应器CSTR (Continuous Stirred-Tank Reactor);一座矩形曝气池可以分解为几个串联的CSTR;一座氧化沟则可视为CSTR(曝气区)与推流式反应器PFR (Plug Flow Reactor)(氧化沟廊道)的串联组合,或将廊道也视为更多的串联CSTR,等等。以上池型分解与组合的具体做法涉及到化学反应工程的反应器基础理论以及活性污泥法的基本知识,需要根据具体情况灵活运用。如何根据具体池型建立微分方程组这一步是非常关键的,如果对池型的分解组合不当,模拟出来的结果将不能准确反映实际的工艺过程。
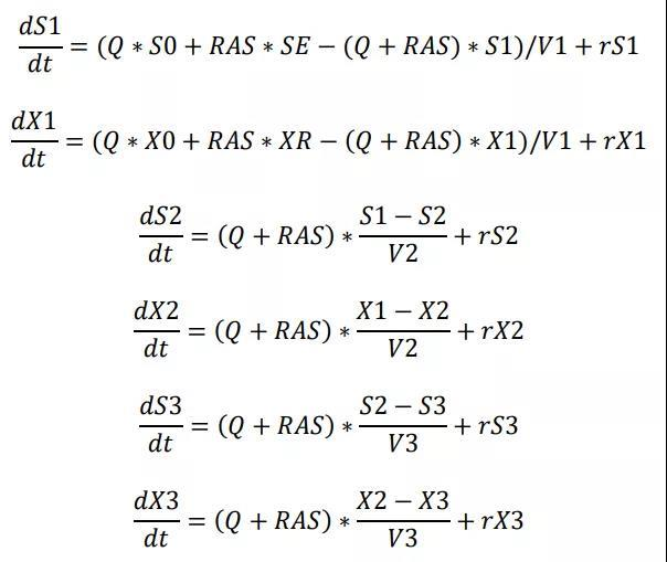
得到基本反应器的组合以后,在每个基本反应器中应用ASM模型,建立反应器中的物料平衡关系方程式,进而得到描述整个系统的微分方程组。例如有一个长:宽=3:1的长方形曝气池连接一个二沉池,这个系统就可以用三个串联的CSTR来近似代表,如下图所示。其中Q为进水流量,RAS和WAS分别为回流污泥流量与剩余污泥流量;S为溶解物质浓度,X为固体物质浓度,S和X均为矢量变量;下标0代表进水,E代表出水,R代表污泥回流。

根据净增量 = 流入量 - 流出量 + 反应量的通则,系统中每个曝气池的物料平衡为:

其中rS1/rS2/rS3以及rX1/rX2/rX3就是ASM模型矩阵所提供的相应的反应项。
以上是单点进水的设计。对于多点进水和多点回流的布局,只要遵循物料平衡的通则,就可得到相应的微分方程组。
2.5.2 求解微分方程组
数值求解微分方程组目前已经变得十分简单,各个时期的各种主流编程语言都会有相应的数值积分的标准程序库或共享代码可以调用。感兴趣的读者可以在网上搜索自己所熟悉的编程语言的微分方程组求解程序包。如果使用Python语言,可以调用SciPy. Integrate的Odeint函数或Solve_ivp函数。在求解过程中需要人为控制的内容包括积分步长与初始条件的确定,同时还要给出进水流量以及原水水质随时间变化的关系。步长选取得越小,计算和模拟的精度越高,但需要的计算资源也越大。在ASM模型刚刚发布的年代,计算机的软件、硬件水平都不够强大,人们不得不在步长选取与计算机计算能力之间做出某种平衡,但现在这些都已经不再是问题了,步长选择几乎不受任何限制,哪怕采用千分之一天甚至万分之一天的步长,求解过程都是瞬间完成,真正的 “秒杀” 。
3 举 例
下面通过一个考察曝气池中活性污泥生长和变化的例子,演示ASM模型如何模拟具体的反应过程并打印输出各个状态变量的曲线。
假设有一个间歇操作的曝气池,向里面注满污水并引入少量活性污泥的菌种,然后停止进水并开始曝气。这个过程很类似于一个SBR的启动过程,但为了更好地考察活性污泥的变化,这里假定曝气池在一开始仅有少量活性污泥。污水的原水水质情况假定为市政污水,水温25度,COD 400,氨氮 25,TKN 35,TP 6,碱度 300,单位均为mg/L。
在用ASM模型模拟这个过程之前,我们先根据对活性污泥法通常的理解初步预想一下本例的曝气池中大概将会发生什么情况:
曝气池一开始存在少量活性污泥的菌种,而且进水中也会带有少量的微生物,随着曝气的进行,在微生物的降解作用下,原水中的有机物含量会随曝气时间而下降,活性污泥微生物总量也会随着有机物的降解而逐步增加。另外,由于活性污泥微生物自身的合成需要摄取一定的营养,故曝气池中N和P的含量在这个过程中也会略有下降。由于是间歇操作,曝气过程中并没有新的有机物补充进入系统,经过一段时间的曝气,池中的有机物将趋于耗尽。此时如果继续曝气,则已经成长的活性污泥将会进入自身分解和氧化的状态,其浓度将开始下降。与此同时,随着水中有机物基质的耗尽,硝化反应的抑制因素逐步消失,硝化反应将全速启动,硝化菌开始利用原水碱度中的碳源将氨氮转化为硝态氮,于是曝气池中的氨氮含量和碱度会开始明显快速下降,而硝态氮含量会相应地大幅上升。在硝化反应基本完成以后,如果再继续曝气,系统将进入过度曝气状态,曝气池中的活性污泥将会分解为可溶解可生物降解有机物颗粒,导致曝气池中可溶解可生物降解有机物的浓度重新上升,但此时由于没有成型有效的活性污泥以及营养物存在,正常的有机物生物降解过程已经无法再进行了。
现在使用ASM 1模型来模拟上面的过程。
第一步,计量系数矩阵。参考表2的矩阵结构并使用ASM 1模型的原始默认参数和系数(请参见本文推荐的参考书)可以得到以下矩阵:

第二步,一致性校验。将表3与上面的矩阵进行点积运算得到以下校验结果:

第三步,建立微分方程组。曝气池充满污水后停止进水,同时开始曝气,这意味着进水流量为零,因此系统的物料平衡方程式中仅剩下反应项,也就是说,前面举例提到的系统物料平衡微分方程组在本例中会缩减为

第四步,COD分量与初始条件的确定。原水水质即为本例的初始条件。对于市政污水,原水COD与ASM 1模型相关的状态变量的初始关系大致如下:Si = 0.1 COD,Ss=0.3COD,Xi=0.15COD,Xs = 0.45COD。假定曝气池活性污泥菌种的初始浓度很低,原水中携带的活性污泥为进水COD的10%,异养菌与硝化菌的比例为10比1。其他参数如氨氮、硝态氮和碱度等等可直接套用本例开始给出的原水指标并注意单位换算。
第五步,根据初始条件求解微分方程组并打印结果。查看COD或BOD的变化情况时,需要将模型中的Si,Xi,Xs,Ss等状态变量重新折算为COD或BOD。



从ASM模型模拟的过程来看,池中微生物的增长变化、有机物以及氨氮和硝态氮等指标的浓度变化确实与前面预想的情况基本一致。当第一次看到这些输出的曲线时,不禁再次感叹ASM模型的神奇和伟大。
来源:给水排水












