为了减少温室气体排放并促进资源回收,欧美不少污水处理厂都在进行升级改造,以实施能源、营养物和碳回收的新技术。听上去这是一件很值得做的事情,但其潜在的环境和经济影响究竟如何呢?因为真正完成资源回收转换的污水厂并不多,这方面的文献也比较欠缺,为数不多的文献研究大多也是基于模拟而不是实际数据得出的推断结果。
最近,以丹麦技术大学(Technical University of Denmark)为主的团队,基于实际数据,对丹麦首都哥本哈根的一座已经实现资源回收的污水厂进行了评估,其结果发布在IWA期刊《Water Research》中。

图:丹麦Avedøre资源回收工厂 | 图源:BIOFOS
丹麦的资源回收工厂
丹麦的污水资源回收走在行业前列,例如哥本哈根的水务公司BIOFOS在2017年就推出了名叫VARGA的项目,目标是将旗下的Avedøre污水厂升级转化为资源回收工厂(WRRF)。目标是在2025年前全面实施污水的资源化利用。

图:VARGA项目位置图 | 图源:projekt-varga.dk
这座污水处理厂的设计规模为40万人口当量,实际处理规模约为27万人,年处理量约2700万立方米。它有一系列的创新技术,包括:
对原水进行预过滤和初沉污泥的浓缩,提高有机质的碳回收,这能提高甲烷的产量,降低污水处理的能耗
实时 N2O 控制、减少曝气过程的温室气体排放
污泥灰渣的电解磷回收
脱氮能耗的优化
通过加氢升级生物沼气生产工艺
通过有机废弃物分类和协同消化提高沼气产量
在这次研究里,丹麦人将生命周期评估(life cycle assessment,简称LCA)和经济评估相结合,对Avedore资源回收工厂上述的创新技术进行量化评测。他们想通过这次研究回答以下四个重要问题:
污水处理厂向资源回收工厂 的转变在环境和经济上是否具备可持续性?
会影响哪些利益相关者,污水厂改造后他们的经济价值将会如何改变?
环境和经济可持续的资源回收工厂的主要热点和不确定性在哪里?
环境和经济影响之间或不同环境类别之间是否存在取舍?
如下表所示,他们设定五种循序渐进的污水厂改造方案,包括:

五种方案的细节可以参考下表:
为了便于LCA分析,他们将污水处理系统分为前端和后端两部分。如下图所示,前端工艺包括污水的进水和处理、污泥管理、出水排放和各种创新技术。后端工艺则包括和污水厂直接相关的上游外部流程,即电力和热力、原材料需求和化学品,还包括新的替代方案下产生的下游产物,例如天然气、热力、化学品、硅砂、磷酸盐底物和人工肥料等。

图:水资源回收工厂 (WRRF) 的主要系统组成及边界设定(WP:实施不同资源回收技术的工作包)
经济评估方面,他们通过利益相关者关系的绘制来阐明污水厂的资金流向,见下图。并参考国际标准《产品系统的生态效益评估原则、要求和指南》(ISO 14045: 2012),用经济指标来定义价值创造,把总增加值 (TVA)作为衡量经济影响的指标。

如下公式所示,作者们列出了四个利益相关者,分别是水用户(VA-Water User)、污水运营商(VA-Wastewater Operator)、磷回收公司(VA-P-recovery Company)和政府(VA-State)。每个替代方案的TVA值都是四者的TVA值之和。

其中,水用户的经济价值定义为每个替代方案的预期污水费 (EWWF) 与实际污水费 (AWWF)的差值。
根据成本完全回收原则,污水处理运用商的VA值为零。磷回收公司的VA是利润(营收-CAPEX-OPEX)。政府的VA是填埋税费+排污税费。
这个污水厂每年大约处理2700万立方米的污水,其中COD、TN和TP的污染负荷分别为16484吨/年、1300吨/年、193吨/年。总氮变氮气的转化率约为77%。
在常规处理方案里,大概有2.6%的总氮转化成N2O-N,大部分是在硝化/反硝化的过程中释放的。这个数值已经远高于国际气候组织IPCC在2019年建议的1.6%的限值。
他们的数据显示 ,N2O的实时控制能更有效的将这个数值降至1.6%。
侧流厌氧氨氧化,一方面虽然能用更少的能耗去除废水的氮负荷,但也增加了N2O的排放,研究表明,厌氧氨氧化去除的TN有2%-8%转化成N2O。他们估计配置了侧流Anammox的资源回收工厂,TN→N2O的转化率约为1.7%,另外还有17%的TN转移到污泥中,有8%的TN留在出水中。
表. 各种工艺中TN/TP/COD的去向分布
另一方面,93%的总磷转移到污泥灰渣,之前一般是作填埋处理。磷回收技术能回收灰渣中95%的磷含量,约171吨/年。
而一般的甲烷回收技术方案里,34%的COD转化成能量,如果增加预过滤技术,可以有额外的8%的COD进入厌氧消化系统。
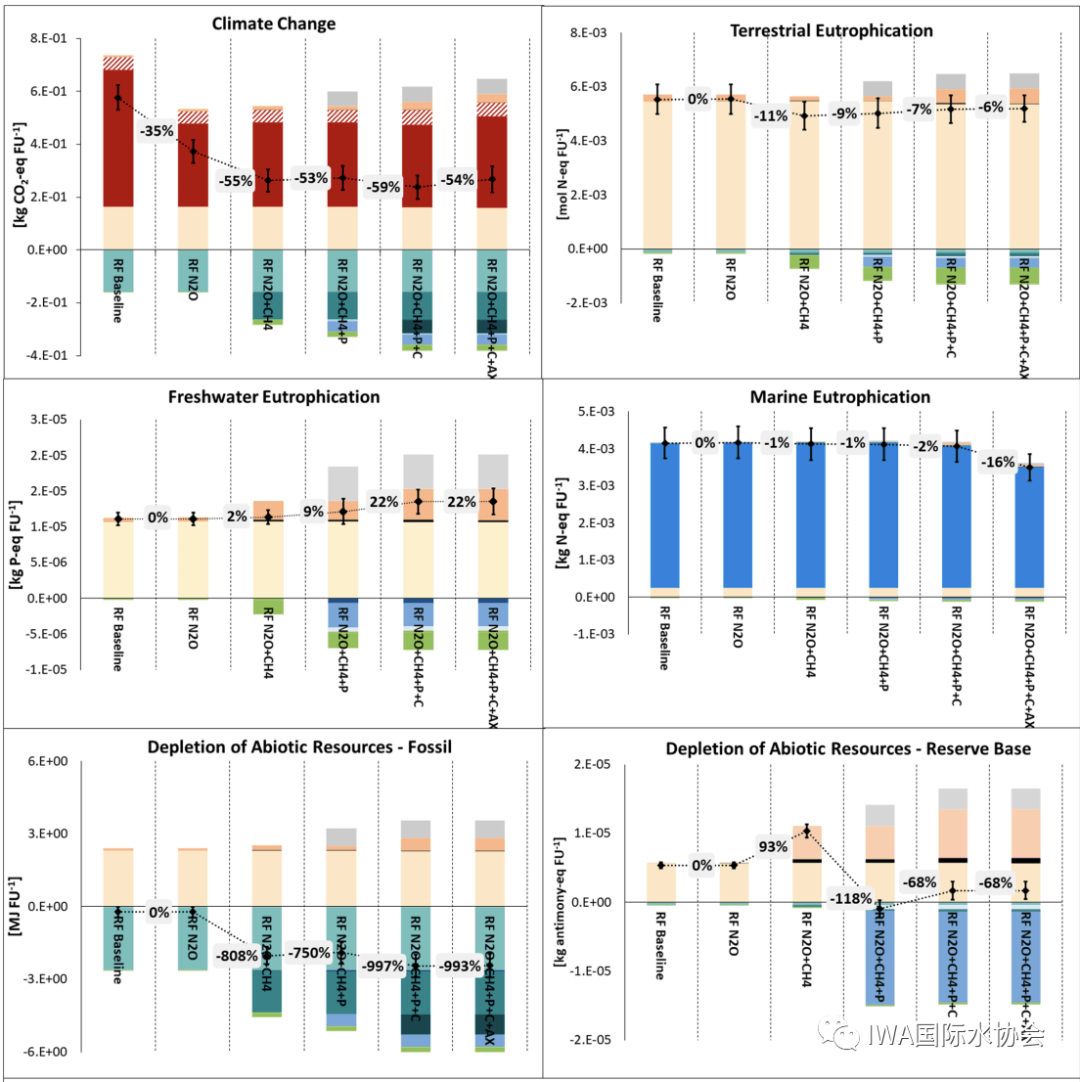
那这些替代方案的环境影响表现如何呢?如下图所示,N2O的实时控制、生物沼气升级和预过滤可以减少气候变化和化石资源枯竭的影响。其中:
实施N2O 实时控制能减少40%的N2O排放量,气候变化 (CC) 对削减量的影响最高(可减少35%),但对其他环境类没有显著影响;
因为生物沼气升级替代了天然气的消费和生产,有助于平衡直接和间接的气候变化影响;
污泥灰渣处理的主要优势在于磷的高回收率(95%),通过替代磷酸二氢钙的常规生产提高 LCA 表现;
预过滤虽然一方面能减少13%的气候变化影响,但对其他方面的影响程度却有所增加;
加强侧流脱氮虽然可减少14%的富营养化影响,但因为有潜在的N2O释放,使气候变化影响增加了 12%。

经济影响
在经济影响方面,研究团队发现,除了N2O的实时控制外(仅有助减少0.2%的成本),其他替代方案虽然改善了环境,却都增加了经济成本。他们认为,这结果说明了大型污水处理厂如果想在未来几年里升级为资源回收工厂,需要在环境效益和经济效益之间有所取舍。

小结
丹麦的这次研究表明,污水厂的资源回收之路面临着利弊共存的事实——并不是所有的技术都能提升环境效益。与基线方案相比,尽管所有考察的改造方案都增加了项目的投资成本和运营成本,但所有替代方案都显示出正的附加经济价值(0.18-0.23欧元/m³),
他们认为这次研究的结果将帮助相关决策者在对污水厂进行升级时,能在环境和经济成本考核方面更好的权衡取舍。
另一方面,作者们认为为了更好地揭示实施污水资源回收的综合效益,在未来的研究中,他们会考虑考察非市场价值等指标的影响。
若想了解他们具体的评估和计算细节,可点击微信最下方“阅读原文”,或访问以下网址查阅原文:
From wastewater treatment to water resource recovery: Environmental and economic impacts of full-scale implementation, Water Research 204 (2021) 117554,
https://doi.org/10.1016/j.watres.2021.117554
图片
参考资料












